动态规划最优解 (0-1背包)
本文以0-1背包问题为切入点介绍动态规划算法。以书包容量限制下选取商品使价值最大化的问题为例,通过穷举法引出动态规划的必要性。核心解法是使用二维数组 dp[i][j] 表示前 i 件物品在容量 j 下的最大价值,状态转移方程为:dp[i][j] = max(dp[i-1][j], dp[i-1][j-weight[i]] + value[i])。文章详细分析了状态转移的推导过程,帮助读者理解动态规划的最优子结构与无后效性特征。
序言
场景: 一天深夜. 路过一家商品店, 门未锁, 附近无人. 于是溜入店中.
店内商品五花八门, 掂了掂自己的书包, 差不多能承重10公斤.
于是立刻挑了四件不超过10公斤的商品, 价值如下:
| Item1 | Item2 | Item3 | Item4 | |
|---|---|---|---|---|
| Weight | 7 | 4 | 2 | 6 |
| Value | 140 | 60 | 50 | 130 |
对于任意一件商品, 我只有拿和不拿两种选择, 不能对某件商品进行拆分.
该怎么拿使得价值最大而不会破包? …
广告: 用markdown写表格很麻烦, 但突然在网上发现一个神器:
excel转markdown神器
思考
首先, 想到一种解决办法1!
把这四种物品的所有排列可能搞出来, 依次尝试, 这个复杂度2的n次方.
要是有几十个物品呢? 繁琐程度可想而知. 排除这种办法.
又想到一种貌似不错的解决办法2:
先算出四件商品单位重量下的价值(value/kg)
value/weight => value/kg 结果如下:
| Item1 | Item2 | Item3 | Item4 | |
|---|---|---|---|---|
| value/kg | 20 | 15 | 25 | 21.5 |
再由高到低排序得到: Item3>Item4>Item1>Item2
所以得到如下步骤:
- 放商品3, 背包剩余重量=(10-2)=8kg, 检查还有无能放的?
- 有- 放商品4, 背包剩余重量=(8-6)=2kg, 检查还有无能放的?
- 没了…
所以最终得到的价值为商品3和商品4的价值总和(50+130)=180元
然而, 这并不是最优的解法. 随便把商品1和商品3放进去, 价值都是190.
所以很遗憾, 用这种简单的小计算可能会导致得到的价值反而最低.
动态规划
介绍
动态规划是解决最优问题的一种方法. 它可以解决很多动归问题.
我们刚才的问题0-1背包问题就是可以用它来解决的.
除此之外, 类似的还有”部分背包问题”, “完全背包问题”
如果用贪心算法来解决”0-1背包问题”, 得到的并不是最优解!
基本原理
再来看一下动规解决背包问题的原理:
假如在最优解场景下, 我们最终只能在n个物品中拿x个(Item1, Item2, Item3 … Itemx)
那么这x个物品在满足小于背包重量的同时就已经形成最优解.
假如拿走最后一个放入的物品Itemx. 该物品的价值为Vx, 重量为Wx.
拿掉后对于剩余x-1个物品, 在重量Wp-Wx, V-Vx下应该也成立最优解?
(Wp:背包的最大重量, V:最终总价值)
可以用反证法来推导.
上面的递推关系证明了在最优解下, 它的子解集也是最优解;
于是可以将全局最优解扩展为局部最优解, 通过一步步缩小递推;
初始最小解应该为背包承受重量(W)为0, 物品数量(N)为0;
下面将W和N作为两个标量, 定义为二维矩阵matrix[][];
因为有初始最小解(为0)的情况, 矩阵应该为matrix[N+1][W+1];
也就是N+1行, W+1列的二维数组;
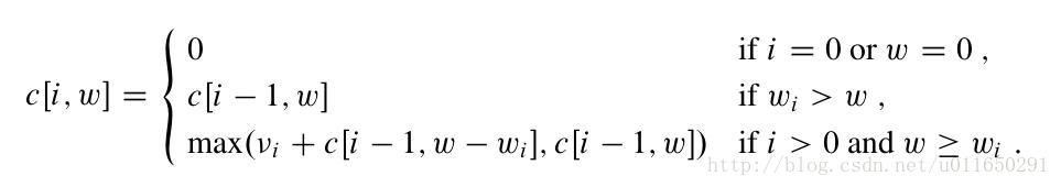
将矩阵结合上述推导, 我们分出三种情况(item:物品个数, weight:背包承重数):
-
初始解: item=0, weight=0
-
选择的物品大于背包承重了, 很简单, 那就不放呗, 价值仍为matrix[i-1][w]!
-
在不大于背包承重限制下, 对于是否要选择第x个物品, 我们判断的依据是什么?
-
a:如果不放, 价值为
matrix[i-1][w]; -
b:如果放了, 价值为
matrix[i-1][w] + matrix[i-1][w-wi]
再来比较a,b值.若
a>b则选a,a<b则选b -
可以将上述推导具化为公式:

代码实现
分析推导完毕, 进入最激动人心的实现环节!
public class Knapsack {
public static void main(String[] args){
int packWt = 10;
int[] itemWtArr = {7, 4, 2, 6};
int[] itemValArr = {140, 60, 50, 130};
System.out.println("动态最优解: " + knapsack(packWt, itemWtArr, itemValArr));
}
public static int knapsack(int packWt, int[] itemWtArr, int[] itemValArr){
int itemCount = itemWtArr.length;
int[][] matrix = new int[itemWtArr.length+1][packWt+1];
//初始情况: 物品数为0
for(int i=0; i<=packWt; ++i) {
matrix[0][i] = 0;
}
//初始情况: 背包重数为0
for(int i=0; i<=itemCount; ++i) {
matrix[i][0] = 0;
}
for(int i=1; i<=itemCount; ++i){
for(int j=1; j<=packWt; ++j){
if(itemWtArr[i-1] <= j) { //物品重量 < 当前背包重量
/**
* 1.不加入该物品时该重量的最大价值: matrix[i-1][j]
* 2.当前物品的价值: itemValArr[i-1];
* 3.当前物品的重量 : itemWtArr[i-1];
* 4.背包剩余重量: j-itemWtArr[i-1];
* 5.可以容纳剩余重量的价值: matrix[i-1][j-itemWtArr[i-1]]
*/
int affordItemVal = matrix[i-1][j-itemWtArr[i-1]];
//放还是不放? 得出子集最优解
matrix[i][j] = Math.max(matrix[i-1][j], affordItemVal + itemValArr[i-1]);
}else { //物品重量 >背包重量 => 不放
int forwardItemVal = matrix[i-1][j];
matrix[i][j] = forwardItemVal;
}
}
}
printMatrix(matrix);
return matrix[itemCount][packWt];
}
public static void printMatrix(int[][] matrix){
System.out.println("---------------------------------------");
for(int i=0; i<matrix.length; ++i){
for(int j=0; j<matrix[i].length; ++j){
System.out.format("%4d", matrix[i][j]);
}
System.out.println("\n");
}
System.out.println("---------------------------------------");
}
}至此, 序言中提到的问题 通过推导和编码已经完全实现了!
图解
下面用表格来描述一下过程
在初始状态下(物品数量Item=0, 背包承受重量Weight=0):
| Value | Weight0 | Weight1 | Weight2 | Weight3 | Weight4 | Weight5 | Weight6 | Weight7 | Weight8 | Weight9 | Weight10 |
|---|---|---|---|---|---|---|---|---|---|---|---|
| Item0 | 0 | 0 | 0 | 0 | 0 | 0 | 0 | 0 | 0 | 0 | 0 |
| Item1 | 0 | ||||||||||
| Item2 | 0 | ||||||||||
| Item3 | 0 | ||||||||||
| Item4 | 0 |
得出最优矩阵:
| Value | Weight0 | Weight1 | Weight2 | Weight3 | Weight4 | Weight5 | Weight6 | Weight7 | Weight8 | Weight9 | Weight10 |
|---|---|---|---|---|---|---|---|---|---|---|---|
| Item0 | 0 | 0 | 0 | 0 | 0 | 0 | 0 | 0 | 0 | 0 | 0 |
| Item1 | 0 | 0 | 0 | 0 | 0 | 0 | 0 | 140 | 140 | 140 | 140 |
| Item2 | 0 | 0 | 0 | 0 | 60 | 60 | 60 | 140 | 140 | 140 | 140 |
| Item3 | 0 | 0 | 50 | 50 | 60 | 60 | 110 | 140 | 140 | 190 | 190 |
| Item4 | 0 | 0 | 50 | 50 | 60 | 60 | 130 | 140 | 180 | 190 | 190 |
取值验证
取值验证是个看似很傻, 但很有效的方法
我记得我在开始学习编程语言时, 第一次碰到双层for循环, 就是取值验证才理解
如果对前面的结果还有疑惑, 可以取值来验证之前的推导:
example 1: 分析item2,weight4 (V:60):
- 能否放物品2 ? 可以啊! 物品2重量为4.
- 不放物品2是否价值更大? 不是阿! 不放价值为0(看前一行数据)
- 放入物品2后还能放? 不能啊! 放了之后背包剩余承重为0了
example 2: 再来分析一下item3,weight9 (V:190):
-
不放物品3时的最大价值, 看前一行是140
-
能放物品3么, 能啊!
-
放上物品3之后还能再放么? 能啊! 放完之后还剩余(10-2)=8呢
-
那计算当前物品的价值+可以容纳的剩余重量的价值:
Vitem2+martix[item=2][weight=8]=50+140=190
190 > 140 啊. 肯定选钱多的.
the end